Announcement

Collapse
No announcement yet.

Japan - Radiation Measurement by Prefecture - Please Consult Your Health Practitioner to Determine What This Means for You. March 15 - 18

Collapse
X
 
  • Filter
  • Time
  • Show
Clear All
new posts

  • #31
    Re: Japan - Radiation Measurement by Prefecture - Please Consult Your Health Practitioner to Determine What This Means for You

    Click image for larger version

Name:	top_logo.gif
Views:	4
Size:	3.4 KB
ID:	653551
    radiation measurements
    16 Mar to 17 Mar 17:00 PM
    nGy/h(μSv/h)

    茅ヶ崎 = Chigasaki
    川崎 = Kawasaki
    横須賀 = Yokosuka

    ex: 1時 = 01:00 AM 2時 = 02:00 AM...
    ex: 停電のため、欠測 = undetected because of a power cut

    16 Mar
    Click image for larger version

Name:	snap20110318075019.jpg
Views:	1
Size:	251.7 KB
ID:	653552
    17 Mar
    Click image for larger version

Name:	snap20110318074815.jpg
Views:	1
Size:	159.4 KB
ID:	653553

    Kanagawa pref http://www.pref.kanagawa.jp/sys/bous...6,4006,14.html

    Comment


    • #32
      Re: Japan - Radiation Measurement by Prefecture - Please Consult Your Health Practitioner to Determine What This Means for You

      Click image for larger version

Name:	snap20110316002856.jpg
Views:	7
Size:	15.0 KB
ID:	653554
      radiation measurements
      16 Mar 20:10 PM to 17 Mar 20:00 PM
      μSv

      北茨城市 = Kitaibaraki city
      高萩市 = Takahagi city
      大子町 = Daigo town

      Click image for larger version

Name:	snap20110318080510.jpg
Views:	1
Size:	551.7 KB
ID:	653555

      Ibaraki pref http://www.pref.ibaraki.jp/important...q/20110318_08/

      Comment


      • #33
        Re: Japan - Radiation Measurement by Prefecture - Please Consult Your Health Practitioner to Determine What This Means for You

        Click image for larger version

Name:	tokyologo.gif
Views:	1
Size:	5.8 KB
ID:	653556
        radiation measurements at Shinjuku
        15 Mar 08:00 AM to 18 Mar 07:59 AM
        μGy/h

        線量率最大値 = maximum value 線量率最小値= minimum value 線量率平均値 = average value
        Click image for larger version

Name:	snap20110318081510.jpg
Views:	1
Size:	481.6 KB
ID:	653557

        Tokyo Metropolitan Government http://ftp.jaist.ac.jp/pub/emergency...jp/monitoring/

        Comment


        • #34
          Re: Japan - Radiation Measurement by Prefecture - Please Consult Your Health Practitioner to Determine What This Means for You



          The link gives radiation readings from each of the points on the map for March 16.

          Click image for larger version

Name:	Measuring points.PNG
Views:	1
Size:	409.7 KB
ID:	653558
          Twitter: @RonanKelly13
          The views expressed are mine alone and do not represent the views of my employer or any other person or organization.

          Comment


          • #35
            Re: Japan - Radiation Measurement by Prefecture - Please Consult Your Health Practitioner to Determine What This Means for You

            Click image for larger version

Name:	saitama.jpg
Views:	2
Size:	21.5 KB
ID:	653559
            radiation measurements
            17 Mar 01:00 PM to 18 Mar 08:00 AM
            mSv/h

            ex: 1時 = 01:00 AM 2時 = 02:00 AM...
            ex: 停電のため計測なし = undetected because of a power cut

            Click image for larger version

Name:	snap20110318085354.jpg
Views:	1
Size:	96.3 KB
ID:	653560

            Saitam pref http://www.pref.saitama.lg.jp/page/housyasenryou.html
            Last edited by makoto; March 17, 2011, 07:15 PM. Reason: roro: plz see #25 or #30, i post it

            Comment


            • #36
              Re: Japan - Radiation Measurement by Prefecture - Please Consult Your Health Practitioner to Determine What This Means for You

              Click image for larger version

Name:	snap20110317135605.jpg
Views:	12
Size:	15.0 KB
ID:	653561
              Readings at Monitoring Post out of 20 Km Zone of Fukushima Dai-ichi NPP
              As of 13:00 March 17, 2011

              μSi/h
              Reading points: plz see number on maps
              Click image for larger version

Name:	snap20110318091604.jpg
Views:	1
Size:	157.1 KB
ID:	653562
              Click image for larger version

Name:	snap20110318091654.jpg
Views:	1
Size:	111.1 KB
ID:	653563

              Ministry of Education, Culture, Sports, Science and Technology "MEXT" http://www.mext.go.jp/a_menu/saigaijohou/index.htm

              Comment


              • #37
                Re: Japan - Radiation Measurement by Prefecture - Please Consult Your Health Practitioner to Determine What This Means for You

                Click image for larger version

Name:	snap20110317135605.jpg
Views:	12
Size:	15.0 KB
ID:	653564
                Readings at Monitoring Post out of 20 Km Zone of Fukushima Dai-ichi NPP
                As of 16:00 March 17, 2011

                μSi/h

                Reading points: plz see number or alphabet on maps


                Click image for larger version

Name:	snap20110318094132.jpg
Views:	1
Size:	140.1 KB
ID:	653565

                Click image for larger version

Name:	snap20110318093015.jpg
Views:	1
Size:	144.5 KB
ID:	653566

                Click image for larger version

Name:	snap20110318093054.jpg
Views:	1
Size:	142.3 KB
ID:	653567

                Click image for larger version

Name:	snap20110318093143.jpg
Views:	1
Size:	169.5 KB
ID:	653568

                Ministry of Education, Culture, Sports, Science and Technology "MEXT" http://www.mext.go.jp/a_menu/saigaij...ai/1303726.htm

                Comment


                • #38
                  Re: Japan - Radiation Measurement by Prefecture - Please Consult Your Health Practitioner to Determine What This Means for You

                  The area around 31,32,33 seems to be getting affected at a distance of around 30 km. One hours exposure at 160 microSv (0.16 milliSv) is about twice the average dose received by an individual living within 16 km of the Three Mile Island accident.


                  "Single Dose ExamplesEating one banana: 0.0001 mSv
                  Sleeping next to a human for 8 hours: 0.0005 mSv[1]
                  Dental radiography: 0.005 mSv[2]
                  Average dose to people living within 16 km of Three Mile Island accident: 0.08 mSv; maximum dose: 1 mSv[3]
                  Mammogram: 3 mSv[2]
                  Brain CT scan: 0.8?5 mSv[4]
                  Chest CT scan: 6?18 mSv[4]
                  Gastrointestinal series X-ray investigation: 14 mSv[5]
                  International Commission on Radiological Protection recommended limit for volunteers averting major nuclear escalation: 500 mSv[6]
                  International Commission on Radiological Protection recommended limit for volunteers rescuing lives or preventing serious injuries: 1000 mSv[6]"


                  Twitter: @RonanKelly13
                  The views expressed are mine alone and do not represent the views of my employer or any other person or organization.

                  Comment


                  • #39
                    Re: Japan - Radiation Measurement by Prefecture - Please Consult Your Health Practitioner to Determine What This Means for You

                    Click image for larger version

Name:	header1_bg.jpg
Views:	2
Size:	24.4 KB
ID:	653571
                    radiation measurements
                    12 Mar to 18 Mar 16:00 PM
                    μSv/h

                    宇都宮市 = Ustsunomiya city
                    那須町 = Nasu town
                    日光市 = Nikko city
                    真岡市 = Moka(Mooka) city
                    小山市 = Oyama city

                    Click image for larger version

Name:	1.jpg
Views:	1
Size:	428.9 KB
ID:	653572
                    Click image for larger version

Name:	2.jpg
Views:	1
Size:	170.2 KB
ID:	653573
                    Click image for larger version

Name:	3.jpg
Views:	1
Size:	194.3 KB
ID:	653574
                    Click image for larger version

Name:	4.jpg
Views:	1
Size:	64.8 KB
ID:	653575

                    Tochigi Pref http://www.pref.tochigi.lg.jp/kinkyu/houshasen.html

                    Comment


                    • #40
                      Re: Japan - Radiation Measurement by Prefecture - Please Consult Your Health Practitioner to Determine What This Means for You

                      Click image for larger version

Name:	mext.jpg
Views:	12
Size:	15.0 KB
ID:	653577
                      Readings at Monitoring Post out of 20 Km Zone of Fukushima Dai-ichi NPP
                      As of 19:00 March 17, 2011
                      μSi/h

                      Reading points: plz see number or alphabet on maps

                      Click image for larger version

Name:	snap20110318214756.jpg
Views:	1
Size:	137.0 KB
ID:	653578
                      Click image for larger version

Name:	snap20110318215020.jpg
Views:	1
Size:	142.1 KB
ID:	653579
                      Click image for larger version

Name:	snap20110318215031.jpg
Views:	1
Size:	131.6 KB
ID:	653580
                      Click image for larger version

Name:	snap20110318215048.jpg
Views:	1
Size:	183.6 KB
ID:	653581

                      Ministry of Education, Culture, Sports, Science and Technology "MEXT" http://www.mext.go.jp/a_menu/saigaij...ai/1303726.htm

                      Comment


                      • #41
                        Re: Japan - Radiation Measurement by Prefecture - Please Consult Your Health Practitioner to Determine What This Means for You

                        Click image for larger version

Name:	mext.jpg
Views:	12
Size:	15.0 KB
ID:	653582
                        Readings at Monitoring Post out of 20 Km Zone of Fukushima Dai-ichi NPP
                        As of 10:00 March 18, 2011
                        μSi/h

                        Reading points: plz see number or alphabet on maps

                        Click image for larger version

Name:	snap20110318215834.jpg
Views:	1
Size:	245.0 KB
ID:	653583
                        Click image for larger version

Name:	snap20110318215950.jpg
Views:	1
Size:	138.7 KB
ID:	653584
                        Click image for larger version

Name:	snap20110318220007.jpg
Views:	1
Size:	132.7 KB
ID:	653585
                        Click image for larger version

Name:	snap20110318220019.jpg
Views:	1
Size:	183.2 KB
ID:	653586

                        Ministry of Education, Culture, Sports, Science and Technology "MEXT" http://www.mext.go.jp/a_menu/saigaij...ai/1303726.htm

                        Comment


                        • #42
                          Re: Japan - Radiation Measurement by Prefecture - Please Consult Your Health Practitioner to Determine What This Means for You

                          Click image for larger version

Name:	mext.jpg
Views:	12
Size:	15.0 KB
ID:	653587
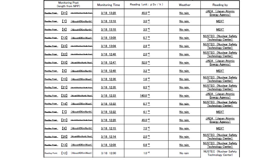
                          Readings at Monitoring Post out of 20 Km Zone of Fukushima Dai-ichi NPP
                          As of 13:00 March 18, 2011
                          μSi/h

                          Reading points: plz see number or alphabet on maps

                          Click image for larger version

Name:	snap20110318221323.jpg
Views:	1
Size:	139.3 KB
ID:	653588
                          Click image for larger version

Name:	snap20110318221353.jpg
Views:	1
Size:	120.7 KB
ID:	653589

                          Ministry of Education, Culture, Sports, Science and Technology "MEXT" http://www.mext.go.jp/a_menu/saigaij...ai/1303726.htm

                          Comment


                          • #43
                            Re: Japan - Radiation Measurement by Prefecture - Please Consult Your Health Practitioner to Determine What This Means for You

                            Click image for larger version

Name:	header_bg.jpg
Views:	1
Size:	28.6 KB
ID:	653590
                            radiation measurements at Shizuoka city, Shizuoka pref
                            15 Mar 09:00 AM to 18 Mar 17:00 PM
                            nGy/h

                            Click image for larger version

Name:	03.15.1.jpg
Views:	1
Size:	353.2 KB
ID:	653591
                            Shizuoka pref http://www.pref.shizuoka.jp/kinkyu/1...itoring_2.html

                            Comment


                            • #44
                              Re: Japan - Radiation Measurement by Prefecture - Please Consult Your Health Practitioner to Determine What This Means for You

                              Click image for larger version

Name:	snap20110319001311.jpg
Views:	1
Size:	30.2 KB
ID:	653592
                              radiation measurements at Nagano city, Nagano pref
                              18 Mar
                              μSv/h

                              ex:1時 = 01:00 AM 2時 = 02:00 AM...
                              Click image for larger version

Name:	snap20110319001151.jpg
Views:	1
Size:	94.4 KB
ID:	653593

                              Nagano pref http://www.pref.nagano.jp/kankyo/kan.../houshanou.htm

                              Comment


                              • #45
                                Re: Japan - Radiation Measurement by Prefecture - Please Consult Your Health Practitioner to Determine What This Means for You

                                Click image for larger version

Name:	mext.jpg
Views:	12
Size:	15.0 KB
ID:	653594
                                Readings at Monitoring Post out of 20 Km Zone of Fukushima Dai-ichi NPP
                                As of 16:00 March 18, 2011
                                μSi/h

                                Reading points: plz see number on maps

                                Click image for larger version

Name:	snap20110319154219.jpg
Views:	1
Size:	143.8 KB
ID:	653595
                                Click image for larger version

Name:	snap20110319154238.jpg
Views:	1
Size:	136.4 KB
ID:	653596
                                Click image for larger version

Name:	snap20110319154247.jpg
Views:	1
Size:	73.0 KB
ID:	653597
                                Click image for larger version

Name:	snap20110319154258.jpg
Views:	1
Size:	137.5 KB
ID:	653598


                                Ministry of Education, Culture, Sports, Science and Technology "MEXT" http://www.mext.go.jp/a_menu/saigaij...ai/1303726.htm

                                Comment

                                Working...
                                X